首页 >> 解决方案 >> 一次调频/快速频率响应
解决方案
   光伏发电解决方案
   一次调频/快速频率响应
   AGC/AVC控制系统
   微电网解决方案
   储能EMS能量管理系统
   风力发电解决方案
   能源集控解决方案
   发电厂变电站综自系统
一次调频/快速频率响应
按照国家能源局西北监管局关于推进西北电网新能源场站快速频率响应工作的通知文件要求,结合国家电网西北电力调控分中心及各省调有关新能源场站快速频率响应相关要求,草拟定关于光伏电站快速频率响应系统的改造方案。

一、光伏电站快速频率响应系统方案
总体方案:
利用有功控制系统进行快速频率响应功能的改造。
一是使用RE-778 快速频率响应装置;
二是根据光伏电站实际情况考虑对光伏电站AGC及逆变器进行验证,保证快速频率响应的整体性能。
逻辑框图:


1、RE-778 快速频率响应装置
基于现有光伏电站有功控制系统的架构,增加一套快速频率响应装置来实现系统频率的高精度测量,根据频率的变化执行有功-频率特性曲线函数下发频率响应有功控制目标值至现有的有功控制系统,从而实现系统频率变化的快速调节。
2、光伏电站AGC系统及逆变器侧性能验证
需要了解评估光伏电站目前现有的AGC系统、逆变器的功能特性是否满足功能特性及时间响应要求,来决定改造相应的设备功能。若采用我司RE-700有功控制系统方案则可保证系统性能和功能要求。

二、 快速频率响应装置实现的功能
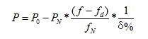
快速频率响应有功-频率下垂特性通过设定频率和有功功率折线函数实现:


式中: 为快速频率响应死区,Hz;光伏电站为±0.06Hz;
       为系统额定频率,Hz;
       为额定功率,MW;
       为快速频率响应调差率;光伏电站为3%;
       为有功功率初值,MW。
 


装置实时监测系统频率f,频率分辨率可达到0.001Hz。系统频率f一旦越出调节死区,则触发调节命令,计算得出所需调整的有功功率目标值,并直接下发至AGC 系统,再通过网络将调节目标指令传送到执行单元逆变器。
1、监测电网频率
高精度测量并网线的频率,频率测量精度不低于0.002Hz,频率采样周期不大于50ms。
2、判断电网频率是否越出调节死区
根据调度给定的快速频率响应动作死区定值,判断系统频率是否
到达动作门槛,一旦越出则计算出需要调节的目标值。
3、更新有功计划
根据有功-频率特性曲线计算更新有功计划。
快速频率响应调节限幅按调度给定值整定。
4、对时功能
装置增加GPS 对时功能模块实现装置的时钟同步,保证事件记录、数据记录等时间的准确。

三、光伏电站AGC系统 及逆变器
1、光伏电站AGC系统及逆变器的性能需要满足调度机构对光伏电站快速频率响应性能的要求(见附件)。
2、为了保证快速频率响应系统各装置时间的一致性,光伏电站AGC需具备时钟同步功能(GPS 对时)。

四、系统方案的优点
1、系统频率采集精度高速度快
装置直采系统频率,采样精度高、速度快。通过直采频率进行快速频率响应功能逻辑计算,可有效提高快速频率响应功能的时效性。
2、 有功指令传输快、系统闭环响应时间短
装置将有功指令传至光伏电站AGC 系统采用以太网方式发送,通过优化指令传输方案,可有效缩短快速频率响应的指令传输时间。
3、 有功调节精度高
本系统有功测量精度高,可实现高精度有功调节,具体实现有赖于具体执行单元。
4、 多方连接灵活
本系统支持网络通讯,规约支持IEC103,IEC104,MODBUSTCP等多种规约,适用于和多种对象进行数据交互。
按照国家能源局西北监管局关于推进西北电网新能源场站快速频率响应工作的通知文件要求,结合国家电网西北电力调控分中心及各省调有关新能源场站快速频率响应相关要求,草拟定关于光伏电站快速频率响应系统的改造方案。

一、光伏电站快速频率响应系统方案
总体方案:
利用有功控制系统进行快速频率响应功能的改造。
一是使用RE-778 快速频率响应装置;
二是根据光伏电站实际情况考虑对光伏电站AGC及逆变器进行验证,保证快速频率响应的整体性能。
逻辑框图:


1、RE-778 快速频率响应装置
基于现有光伏电站有功控制系统的架构,增加一套快速频率响应装置来实现系统频率的高精度测量,根据频率的变化执行有功-频率特性曲线函数下发频率响应有功控制目标值至现有的有功控制系统,从而实现系统频率变化的快速调节。
2、光伏电站AGC系统及逆变器侧性能验证
需要了解评估光伏电站目前现有的AGC系统、逆变器的功能特性是否满足功能特性及时间响应要求,来决定改造相应的设备功能。若采用我司RE-700有功控制系统方案则可保证系统性能和功能要求。

二、 快速频率响应装置实现的功能
快速频率响应有功-频率下垂特性通过设定频率和有功功率折线函数实现:


式中: 为快速频率响应死区,Hz;光伏电站为±0.06Hz;
       为系统额定频率,Hz;
       为额定功率,MW;
       为快速频率响应调差率;光伏电站为3%;
       为有功功率初值,MW。
 


装置实时监测系统频率f,频率分辨率可达到0.001Hz。系统频率f一旦越出调节死区,则触发调节命令,计算得出所需调整的有功功率目标值,并直接下发至AGC 系统,再通过网络将调节目标指令传送到执行单元逆变器。
1、监测电网频率
高精度测量并网线的频率,频率测量精度不低于0.002Hz,频率采样周期不大于50ms。
2、判断电网频率是否越出调节死区
根据调度给定的快速频率响应动作死区定值,判断系统频率是否
到达动作门槛,一旦越出则计算出需要调节的目标值。
3、更新有功计划
根据有功-频率特性曲线计算更新有功计划。
快速频率响应调节限幅按调度给定值整定。
4、对时功能
装置增加GPS 对时功能模块实现装置的时钟同步,保证事件记录、数据记录等时间的准确。

三、光伏电站AGC系统 及逆变器
1、光伏电站AGC系统及逆变器的性能需要满足调度机构对光伏电站快速频率响应性能的要求(见附件)。
2、为了保证快速频率响应系统各装置时间的一致性,光伏电站AGC需具备时钟同步功能(GPS 对时)。

四、系统方案的优点
1、系统频率采集精度高速度快
装置直采系统频率,采样精度高、速度快。通过直采频率进行快速频率响应功能逻辑计算,可有效提高快速频率响应功能的时效性。
2、 有功指令传输快、系统闭环响应时间短
装置将有功指令传至光伏电站AGC 系统采用以太网方式发送,通过优化指令传输方案,可有效缩短快速频率响应的指令传输时间。
3、 有功调节精度高
本系统有功测量精度高,可实现高精度有功调节,具体实现有赖于具体执行单元。
4、 多方连接灵活
本系统支持网络通讯,规约支持IEC103,IEC104,MODBUSTCP等多种规约,适用于和多种对象进行数据交互。
版权所有:环球体育平台
联系电话:400-070-1580或400-086-1320

苏公网安备 32011502011033

版权所有:环球体育平台 公司地址:江苏省南京市江宁区新丰路10号 联系电话:400-070-1580或400-086-1320  苏ICP备19038113号-1